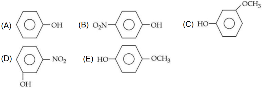
For the given compounds, the correct order of increasing pKa value:
Choose the correct answer from the options given below.
A
(E)<(D)<(B)<(A)<(C)
B
(D)<(E)<(C)<(B)<(A)
C
(B)<(D)<(A)<(C)<(E)
D
(E)<(D)<(C)<(B)<(A)
Text Solution
The correct Answer is:C
|
Topper's Solved these Questions
Similar Questions
Knowledge Check
Match the columns and choose the correct answer from the options given below
AA -ii, B-iii, C-ivBA-i, B-iii, C-ivCA -ii, B-iv & i, C-iiiDA-iii, B-ii, C-i
Match the columns and choose the correct answer from the options given below

View SolutionMatch the columns and choose the correct answer from the options given below

View SolutionMatch the columns and choose the correct answer from the options given below

View SolutionMatch the columns and choose the correct answer from the options given below

View SolutionMatch the columns and choose the correct answer from the options given below

View SolutionMatch the columns and choose the correct answer from the options given below

View SolutionMatch the columns and choose the correct answer from the options given below

View Solution

