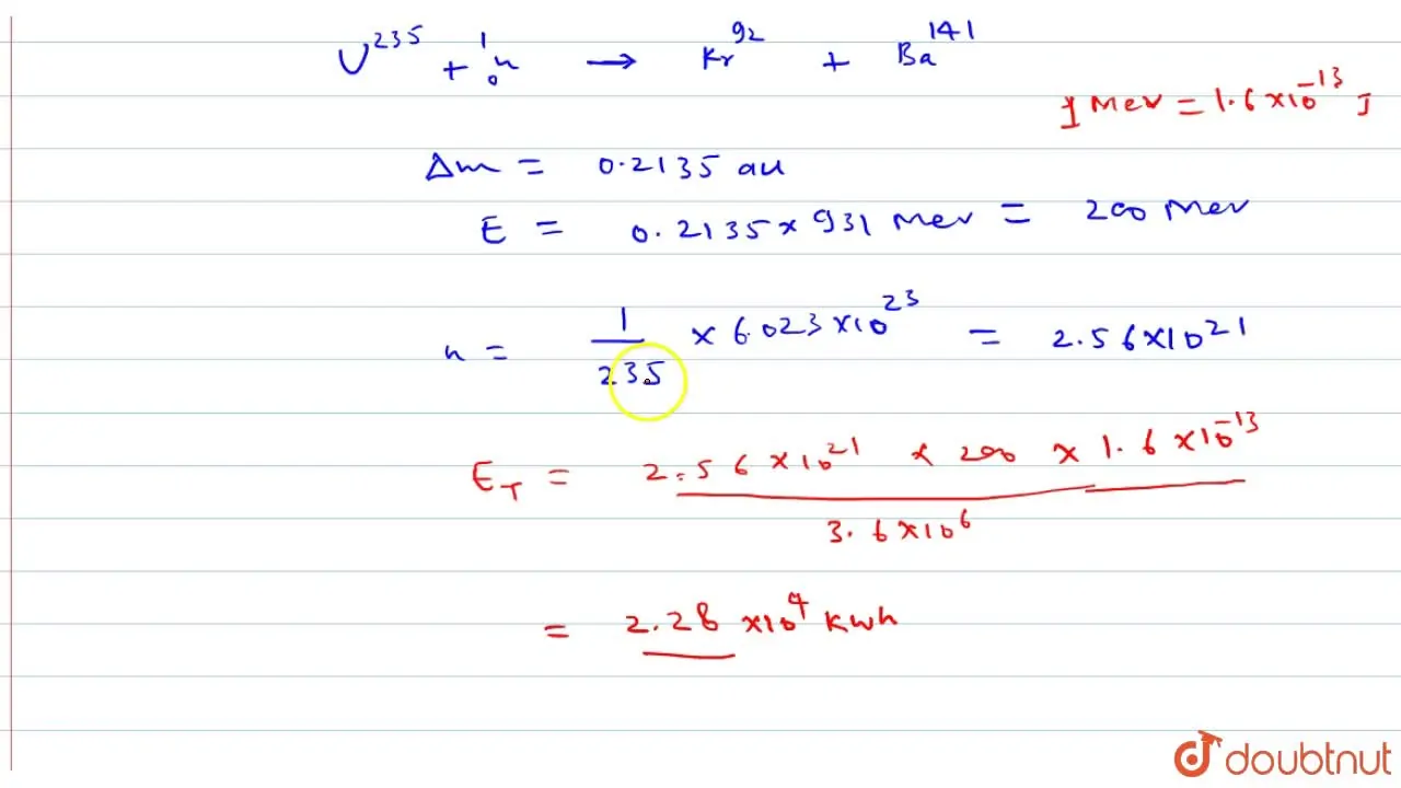
Find the amount of energy released when 1 atom of Uranium .92U235(235.0439amu) undergoes fission by slow neturon (1.0087amu) and is splitted into Krypton .36Kr92(91.8973amu) and Barium .56Br141(140.9139amu) assuming no energy is lost. Hence find the enrgy in kWh, when 1g of it undergoes fission.
.23592U+.2350n→.14156Ba+.9236Kr+3(.10n)
Δm=[{235.0439+1.0087}−{140.9139+91.8973+3×1.0087}]
=0.2135aμ
Equilvalent enrgy =0.2153×931=200MeV
Number of atoms/fission in 1g of atom is
1235×6.023×1023=2.56×1021
Energy released in fission of 1g of .23592U
=2.56×1021×200MeV
=2.56×1021×200×1.6×10−13J
=2.56×1021×200×1.6×10−133.6×106kWh
=2.28×104kWh
Topper's Solved these Questions
- NUCLEAR PHYSICS AND RADIO ACTIVITYBook:CP SINGHChapter:NUCLEAR PHYSICS AND RADIO ACTIVITYExercise:EXERCISES
Explore 118 Videos
- NEET PREVIOUS YEARBook:CP SINGHChapter:NEET PREVIOUS YEARExercise:PAPER
Explore 89 Videos
- OPTICAL INSTRUMENTSBook:CP SINGHChapter:OPTICAL INSTRUMENTSExercise:EXERCISES
Explore 63 Videos
Similar Questions
IN a nuclear reactor, fission is produced in 1 g of .235U
(235.0349amu). In assuming that .9253Kr(91.8673amu)
and .14136Ba(140.9139amu) are produced in all reactions and no energy is lost, calculate the total energy produced in killowatt. Given: 1amu=931MeV.
View SolutionThe energy released by fission of one U235 atom is 200 MeV. Calculate the energy released in kWh, when one gram of uranium undergoes fission.
View Solution
Knowledge Check
If 200 MeV of energy is released in the fission of 1 nucleus of 92U235, the number of nuclei that undergo fission to produce energy of 10 kWh in 1 s is
A11.25×1018B22.5×1017C11.25×1017D22.5×1018The number of neutrons released when .92U235 undergoes fission by absorbing .0n1 and (.56Ba144+.36Kr89) are formed, is.
A0B1C2D3U235+n1→ fission product + neutron + 3.2×10−11j. The energy released , when 1g of u235 finally undergoes fission , is
A12.75×108kjB18.60×109kjC8.21×107kjD6.55×106kj
When one atom of 92U235 undergoes fission, 200 MeV energy is released. Calculate the amount of energy released using 0.5 grams of it.
View SolutionU235+n1→ fission product + neutron + 3.2×10−11j. The energy released , when 1g of u235 finally undergoes fission , is
View SolutionAssuming that about 200MeV of energy is released per fission of .92U235 nuceli, the mass of U235 consumed per day in a fission ractor of power 1 megawatt will be approximately .
View SolutionWhen .92U235 undergoes fission, 0.1% of its original mass is changed into energy. How much energy is released if 1kg of .92U235 undergoes fission ?
View SolutionWhen .92U235 undergoes fission, 0.1% of its original mass is changed into energy. How much energy is released if 1kg of .92U235 undergoes fission ?
View Solution

