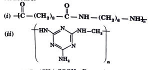
Identify the monomer in the following polymeric structures. i
i The monomers of the given polymeric structure are decanoic acidand hexamethylene diamineii The monomers of the given polymeric structure are
Related Solutions
Identify the monomer in the following polymeric structures. (i)
View SolutionIdentify the monomer in the following polymeric structures. (i)
View SolutionIdentify the monomers in the following polymeric structures.

View SolutionIdentify the monomer in the following polymeric structures:
'(##VPS_HSS_CHE_ XII_C15_E02_018_Q01##)'
View SolutionThe following structure represents a subunit of a hydrocarbon polymer that may be prepared by a radical polymerization method. Identify the monomer that been polymerized to make this polymer chain.

View SolutionThe following structure represents a subunit of a hydrocarbon polymer that may be prepared by a radical polymerization method. Identify the monomer that has been polymerized to make this polymer chain.
View SolutionIdentify the monomer in the following polymer structure:

View SolutionIdentify the monomer in the following polymeric structure :
View SolutionWhich of the following monomers gives synthetic rubber on polymerization?
View SolutionWhich of the following monomers gives the polymer neoprene on polymerization?
View SolutionWhich of the following monomers gives the polymer neoprene on polymerization?
View SolutionWhich of the following monomers gives the polymer neoprene on polymerization?
View SolutionWhich of the following monomer will give Neoprene by polymerization ?
View SolutionWhich of the following monomers gives synthetic rubber on polymerization?
View SolutionWhich of the following monomers can undergo condensation polymerization ?
View SolutionWhich of the following monomers can undergo condensation polymerization ?
View SolutionWhich of the following monomers can undergo condensation polymerization?
View SolutionWhat is monomer ? What is polymerization ?
View Solution