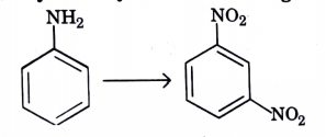
How will you carry out the following conversions?
iii Conversion A given below is same as in part i given above after that reaction B can be carried out.
Related Solutions
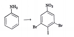
How will you carry out the following conversion?

View SolutionHow will you carry out the following conversion?

View SolutionHow will you carry out the following conversion?

View SolutionHow will you carry out the following conversion?

View SolutionHow will you carry out the following conversion?

View SolutionHow will you carry out the following conversion?

View SolutionHow will you carry out the following conversion?

View SolutionHow will you carry out the following conversion?

View SolutionHow will you carry out the following conversion?

View SolutionHow will you carry out the following conversion?

View SolutionHow will you carry out the following conversion?

View SolutionHow will you carry out the following conversion?

View SolutionHow will you carry out the following conversion?

View SolutionHow will you carry out the following conversion?

View SolutionHow will you carry out the following conversion?

View SolutionHow will you carry out the following conversion?

View SolutionHow will you carry out the following conversion?

View SolutionHow will you carry out the following conversion?

View SolutionHow will you carry out the following conversion? CH_3CH_2COOHrarrCH_3CH_2CH_2OH
View SolutionHow would you carry out the following Conversion: .
View Solution