
Find the quadratic polynomial the sum and product of whose zeroes are `-3` and 2, respectively. Welcome to Doubtnut. Doubtnut ...

Which of the following experiences are polynomials in one variable and which are not ? State reasons for your answer. `3sqrt(t) + ...

Evaluate the following products without multiplying directly : `95 xx 96` Welcome to Doubtnut. Doubtnut is World's Biggest Platform ...

Find six rational numbers between `3` and `4`. Welcome to Doubtnut. Doubtnut is World's Biggest Platform for Video Solutions of ...

Find the rational numbers between ` (3)/(7) and (5)/(7) ` Welcome to Doubtnut. Doubtnut is World's Biggest Platform for Video ...

Which one of the following equations of motion represent simple harmonic motion? Where `k, k_(0), k_(1)` and a are positive.

If the points A(6,1), B(8,2), C(9,4) and D(p,3) are the vertices of a parallelogram, taken in order, find the value of p. Welcome to ...

The force of repulsion between two charges +1 and 6C is 12N. A third charge -4C add between them, now the force between them ...

Determine the electrostatic potential energy of a system consisting of two charges 7 `mu`C and - 2 `muC` (and with no external ...

By sucking through a straw a student can reduce the pressure in his lungs to 750 mm of Hg (density `=13.6g//cm^(3))`. Using the ...

From a solid sphere of mass M and radius `R/2` aspherical portion of radius ž is romoved as shown in figure. Taking gravitational ...

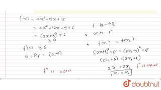
Let `f':N rarr R` be a function defined as `f'(x) = 4x^(2) + 12x + 15` . Show that `f:N rarrS` , where, S is the range of f, is invertible.

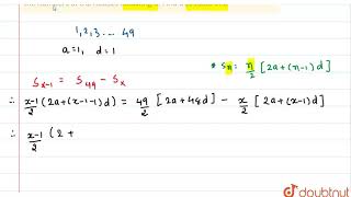
The houses of a row are numbered consecutively from 1 to 49. Show that there is a value of x such that the sum of the numbers of ...

If `x =2 and y=1` is a solution of the equation `2x+3y=k`, find the value of k. Welcome to Doubtnut. Doubtnut is World's Biggest ...

The initial phase of body executing SHM is `(pi)/(4)`, then what will be its phase at the end of 10 oscillations? Welcome to ...

Two batteries of emf `epsilon_(1) and epsilon_(2) (epsilon_(2) gt epsilon_(1))` and internal resistances `r_(1) and r_(2)` ...

Find the coordinates of the points of trisection of the line segment joining (4,-1) and (-2, -3) Welcome to Doubtnut. Doubtnut is ...

If `int (sin 2x-cos2x)dx=(1)/(sqrt(2))sin(2x-a)+b` then ..... Welcome to Doubtnut. Doubtnut is World's Biggest Platform for Video ...

Let `f : R rarrR` be defined as `f(x)=x^4` . Choose the correct answer. Welcome to Doubtnut. Doubtnut is World's Biggest Platform ...

The relation R defined in the set of real number R is as follow : `R {(x,y) : x - y + sqrt2` is an irrational number} Is R transitive ...