
If `A={1,3,5,7,9,11,13,15,17},B={2,4,…..,18}` and N is the universal set, then `A'uu((A uu B)nn B')` is Welcome to Doubtnut.

The equation of the tangents to the circle `x^(2)+y^(2)=25` with slope 2 is Welcome to Doubtnut. Doubtnut is World's Biggest ...

If a line `(x)/(8)+(y)/(5)=1` meets the ellipse on x - axis and the line `(x)/(3)+(y)/(4) =1` meets the ellipse on y - axis then its ...

If `x+iy=(1)/(1+ cos theta+ isin theta)`, show that `4x^(2)-1=0` Welcome to Doubtnut. Doubtnut is World's Biggest Platform for Video ...

Find the length of the chord intercepted by the circle `x^(2) + y^(2) - 8x -2y -8 = 0 ` on the line `x + y + 1 =0 ` Welcome to Doubtnut.

The number of values of k for which the system of equations: `(k+1)x+8y=4k,kx+(k+3)y=3k-1` has no solution is Welcome to ...

If the position vectors of the vertices of a triangle are 2i - j + k, i - 3j - 5k, 3i - 4j - 4k then it is Welcome to Doubtnut. Doubtnut is ...

Find the equation of the straight line passing through (-4,5) and cutting off equal and non-zero intercepts on the co-ordinate axes.

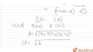
The centre of the circle passing through the point (0, 1) and touching the curve `y=x^(2)` at (2, 4) is Welcome to Doubtnut.

If one zero of the polynomial `f(x) = 5x^(2) + 13x + k` is reciprocal of the other , then the value of k= ………. Welcome to ...

Find q and r for the following pairs of positive integers a and b, satisfying `a=bq+r`. (i) `a=13,b=3` Welcome to Doubtnut. Doubtnut ...

A solution is obtained by mixing 300g of `25%` solution and 400g of `40%` solution by mass. Calculate the mass percentage of ...

This Is For All The Doubtnut Students Out There ! #40under40 #shorts #motivation #doubtnut.

If the line joining the points (k, 1, 2), (3, 4, 6) is parallel to the line joining the points (-4, 3, -6), (5, 12, l) then (k, l) = Welcome to ...

An oil drop of 12 excess electrons is held stationary under a constant electric field of `2.55xx10^(4) NC^(-1)` in Millikan's oil drop ...

If `z=2-isqrt(17)`, then show that `3z^(3)-4z^(2)+z+88=0` Welcome to Doubtnut. Doubtnut is World's Biggest Platform for Video ...

A potentiometer wire has length 4 m and resistance `8Omega`. The resistance that must be connected in series with the wire and ...

If `alphaandbeta` are the roots of `x^(2)-2x+4=0" then "alpha^(n)+beta^(n)` Welcome to Doubtnut. Doubtnut is World's Biggest ...

The quantum number which is equal for all the d-electrons in an atom is Welcome to Doubtnut. Doubtnut is World's Biggest ...

The vernier scale of an instrument has 50 divisions which coincide with 49 main scale divisions. If each main scale division is 0.5 ...