
List ten rational numbers. Welcome to Doubtnut. Doubtnut is World's Biggest Platform for Video Solutions of Physics, Chemistry, ...

Draw the number line and represent the following rational numbers on it: `-5/8` Welcome to Doubtnut. Doubtnut is World's Biggest ...

Draw rough digarams of two angles such that they have :One ray in common. Welcome to Doubtnut. Doubtnut is World's Biggest ...

"Identify the terms and their factors in the following expressions Show the terms and factors by tree diagram `x – 3`" Welcome to ...

ABCD is a square and DEC is an equilateral triangle. Prove that AE = BE. Welcome to Doubtnut. Doubtnut is World's Biggest ...

How many electrons pass through a wire in 2 minutes, If the current passing through wire in 300 mA? Welcome to Doubtnut.

Calculate the total number of electrons present in 1.6g of methane. Welcome to Doubtnut. Doubtnut is World's Biggest Platform for ...

One of the angles of a triangle is `80^(@)` and the other two angles are equal. Find the measure of each of the equal angles.

Given `barAB` of length 3.9 cm, construct `bar PQ` such that the length of `bar PQ` is twice that of `bar AB`.Verify by measurement.

The exponent form of `root(3)(7)` is : Welcome to Doubtnut. Doubtnut is World's Biggest Platform for Video Solutions of Physics, ...

Let us define a relation R in R as aRb if `a ge b`. Then R is Welcome to Doubtnut. Doubtnut is World's Biggest Platform for Video ...

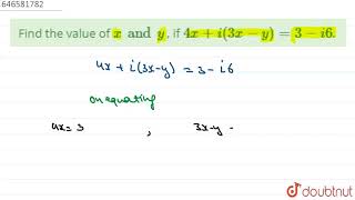
Find the value of `x and y` , if `4x + i(3x - y) = 3 - i6`. Welcome to Doubtnut. Doubtnut is World's Biggest Platform for Video ...

Solve `15/4-7x=9` Welcome to Doubtnut. Doubtnut is World's Biggest Platform for Video Solutions of Physics, Chemistry, Math and ...

State triangle law of vector addition, Welcome to Doubtnut. Doubtnut is World's Biggest Platform for Video Solutions of Physics, ...

If n(A)= 3 and n(B) = 6 and A`sube`B. Then the number of elements in A `nn` B is equal to Welcome to Doubtnut. Doubtnut is ...

f(x)=x^(x)` has a stationary point at Welcome to Doubtnut. Doubtnut is World's Biggest Platform for Video Solutions of Physics, ...

What will be the unit digit of the squares of the following numbers : 272 Welcome to Doubtnut. Doubtnut is World's Biggest ...

Construct a triangle ABC, given that AB = 5 cm, BC = 6 cm and AC = 7 cm Welcome to Doubtnut. Doubtnut is World's Biggest ...

Which congruence criterion do you use in the following? Given: Given: AC = DF AB = DE BC = EF So, `triangleABC ...

In graphical representation of `y = - 4`, line is : Welcome to Doubtnut. Doubtnut is World's Biggest Platform for Video Solutions of ...