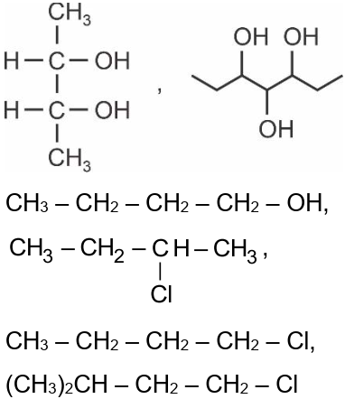
Total number of optically active compounds from the following is___________.

Text Solution
The correct Answer is:2
|
Topper's Solved these Questions
Similar Questions
Knowledge Check
Identify the optically active compounds from the following
A[Co(en)3]3+Btrans−[Co(en)2Cl2]+Ccis−[Co(en)2Cl2]+D[Cr(NH3)5Cl]Identify the optically active compounds from the following :
A[Co(en)3]3+Btrans−[Co(en)2Cl2]+Ccis−[Co(en)2Cl2]+D[Co(NH3)5Cl]Identify the optically active compounds from the following :
A[Co(en)3]3+Btans-[Co(en)2Cl2]+Ccis−[Co(en)2Cl2]+D[Cr(NH3)5Cl]
Isomerism - Optically Active Compounds
View SolutionFor the given compound X, the total number of optically active stereoisomers is _____________.
View SolutionIdentify the optically active compounds from the following :
View SolutionSelect the optically active compound among the following :
View SolutionSelect the optically active compound among the following:
View Solution


