Amines constitute an important class of organic compounds derived by replacing one or more hydrogen atoms of ammonia molecule by alkyl/aryl group(s). In nature, they occur among proteins, vitamins, alkaloids and hormones. Synthetic examples include polymers, dyestuffs and drugs. Two biologically active compounds, namely adrenaline and ephedrine, both containing secondary amino group, are used to increase blood pressure. Novocain, a synthetic amino compound, is used as an anaesthetic in dentistry. Benadryl, a well known antihistaminic drug also contains tertiary amino group. Quinine is an important anti-malarial drug. Codeine is used as an analgesic.
Amines constitute an important class of organic compounds derived by replacing one or more hydrogen atoms of ammonia molecule by alkyl/aryl group(s). In nature, they occur among proteins, vitamins, alkaloids and hormones. Synthetic examples include polymers, dyestuffs and drugs. Two biologically active compounds, namely adrenaline and ephedrine, both containing secondary amino group, are used to increase blood pressure. Novocain, a synthetic amino compound, is used as an anaesthetic in dentistry. Benadryl, a well known antihistaminic drug also contains tertiary amino group. Quinine is an important anti-malarial drug. Codeine is used as an analgesic.
Amines constitute an important class of organic compounds derived by replacing one or more hydrogen atoms of ammonia molecule by alkyl/aryl group(s). In nature, they occur among proteins, vitamins, alkaloids and hormones. Synthetic examples include polymers, dyestuffs and drugs. Two biologically active compounds, namely adrenaline and ephedrine, both containing secondary amino group, are used to increase blood pressure. Novocain, a synthetic amino compound, is used as an anaesthetic in dentistry. Benadryl, a well known antihistaminic drug also contains tertiary amino group. Quinine is an important anti-malarial drug. Codeine is used as an analgesic.
Amines ek important class of compounds hai jo plants aur animals dono meh present hoti hai. Amines nature meh compounds jaise proteins, vitamins, alkaloids, hormones etc., meh present hote hai. Iske sath kuch synthetic compounds jaise polymers, drugs, dyestuffs etc., isme bhi amines present hote hai. For example 2 biologically active compounds jaise Adrenaline aur Ephedrine dono meh secondary amino group present hota hai aur ye compounds generally blood pressure increase karte hai. Iske sath Novocain synthetic amino compound ko hum as anaesthetic use karte hai. Similarly, Benadryl ek well known antihistaminic drug hai jisme tertiary amino group present hota hai aur Quinine ek anti-malarial drug hai. Codeine ko hum as analgesic use karte hai.
Amines ko hum derivatives of ammonia bolte hai, jisme hum ammonia ke 1,2, or all 3 hydrogen atoms ko alkyl or aryl groups se replace kar sakte hai.

Amines ek important class of compounds hai jo plants aur animals dono meh present hoti hai. Amines nature meh compounds jaise proteins, vitamins, alkaloids, hormones etc., meh present hote hai. Iske sath kuch synthetic compounds jaise polymers, drugs, dyestuffs etc., isme bhi amines present hote hai. For example 2 biologically active compounds jaise Adrenaline aur Ephedrine dono meh secondary amino group present hota hai aur ye compounds generally blood pressure increase karte hai. Iske sath Novocain synthetic amino compound ko hum as anaesthetic use karte hai. Similarly, Benadryl ek well known antihistaminic drug hai jisme tertiary amino group present hota hai aur Quinine ek anti-malarial drug hai. Codeine ko hum as analgesic use karte hai.
Amines ko hum derivatives of ammonia bolte hai, jisme hum ammonia ke 1,2, or all 3 hydrogen atoms ko alkyl or aryl groups se replace kar sakte hai.

Amines ek important class of compounds hai jo plants aur animals dono meh present hoti hai. Amines nature meh compounds jaise proteins, vitamins, alkaloids, hormones etc., meh present hote hai. Iske sath kuch synthetic compounds jaise polymers, drugs, dyestuffs etc., isme bhi amines present hote hai. For example 2 biologically active compounds jaise Adrenaline aur Ephedrine dono meh secondary amino group present hota hai aur ye compounds generally blood pressure increase karte hai. Iske sath Novocain synthetic amino compound ko hum as anaesthetic use karte hai. Similarly, Benadryl ek well known antihistaminic drug hai jisme tertiary amino group present hota hai aur Quinine ek anti-malarial drug hai. Codeine ko hum as analgesic use karte hai.
Amines ko hum derivatives of ammonia bolte hai, jisme hum ammonia ke 1,2, or all 3 hydrogen atoms ko alkyl or aryl groups se replace kar sakte hai.

Ammonia ki tarah, amines ka nitrogen bhi trivalent hota hai jiske paas ek unshared pair of electrons hota hai. Ab ammonia ka nitrogen sp3 hybridization show karta hai matlab ye 4 sp3 hybrid orbitals banata hai. Jisme se 3 hybrid orbitals ye H-atom ke s−obrital se overlap kar 3N−H bonds banata hai aur iske 4th hybrid orbital par lone pair of electrons present hote hai. Ab iss lone pair of electrons ki wajah se ammonia molecule ki geometry pyramidal hoti hai aur iska bond angle 107∘. Since amines bhi ammonia ke alkyl or aryl derivatives hote hai, jiske according hum kah sakte hai ki amines ke nitrogen ki bhi hybridisation sp3 aur geometry pyramidal hoti hai. However, amines meh alkyl groups present hone ki wajah se inka bond angle increase ho jata hai. For example in case of tertiary amines, steric hindrance ki wajah se trimethylamine ka bond angle 108∘ hota hai.

Ammonia ki tarah, amines ka nitrogen bhi trivalent hota hai jiske paas ek unshared pair of electrons hota hai. Ab ammonia ka nitrogen sp3 hybridization show karta hai matlab ye 4 sp3 hybrid orbitals banata hai. Jisme se 3 hybrid orbitals ye H-atom ke s−obrital se overlap kar 3N−H bonds banata hai aur iske 4th hybrid orbital par lone pair of electrons present hote hai. Ab iss lone pair of electrons ki wajah se ammonia molecule ki geometry pyramidal hoti hai aur iska bond angle 107∘. Since amines bhi ammonia ke alkyl or aryl derivatives hote hai, jiske according hum kah sakte hai ki amines ke nitrogen ki bhi hybridisation sp3 aur geometry pyramidal hoti hai. However, amines meh alkyl groups present hone ki wajah se inka bond angle increase ho jata hai. For example in case of tertiary amines, steric hindrance ki wajah se trimethylamine ka bond angle 108∘ hota hai.

Ammonia ki tarah, amines ka nitrogen bhi trivalent hota hai jiske paas ek unshared pair of electrons hota hai. Ab ammonia ka nitrogen sp3 hybridization show karta hai matlab ye 4 sp3 hybrid orbitals banata hai. Jisme se 3 hybrid orbitals ye H-atom ke s−obrital se overlap kar 3N−H bonds banata hai aur iske 4th hybrid orbital par lone pair of electrons present hote hai. Ab iss lone pair of electrons ki wajah se ammonia molecule ki geometry pyramidal hoti hai aur iska bond angle 107∘. Since amines bhi ammonia ke alkyl or aryl derivatives hote hai, jiske according hum kah sakte hai ki amines ke nitrogen ki bhi hybridisation sp3 aur geometry pyramidal hoti hai. However, amines meh alkyl groups present hone ki wajah se inka bond angle increase ho jata hai. For example in case of tertiary amines, steric hindrance ki wajah se trimethylamine ka bond angle 108∘ hota hai.

Like ammonia, amines nitrogen atom is also trivalent which has one unshared pair of electrons. Now ammonia nitrogen atom undergoes sp3 hybridization forming four sp3 hybrid orbitals. Three of these sp3 hybrid orbitals overlap with the s−orbital of H-atom forming three N−H bonds and the fourth hybrid orbital contains a lone pair of electrons. The geometry of the molecule is pyramidal and the bond angle of the molecule is 107∘. Since amines are alkyl or aryl derivatives of ammonia, which means amine's nitrogen atom also has sp3 hybridisation with geometry pyramidal. However, due to the presence of methyl groups in amines, the bond angle increases. In case of tertiary amines, due to steric hindrance between three bulky alkyl groups, bond angle increases to 108∘ in trimethylamine.
Like ammonia, amines nitrogen atom is also trivalent which has one unshared pair of electrons. Now ammonia nitrogen atom undergoes sp3 hybridization forming four sp3 hybrid orbitals. Three of these sp3 hybrid orbitals overlap with the s−orbital of H-atom forming three N−H bonds and the fourth hybrid orbital contains a lone pair of electrons. The geometry of the molecule is pyramidal and the bond angle of the molecule is 107∘. Since amines are alkyl or aryl derivatives of ammonia, which means amine's nitrogen atom also has sp3 hybridisation with geometry pyramidal. However, due to the presence of methyl groups in amines, the bond angle increases. In case of tertiary amines, due to steric hindrance between three bulky alkyl groups, bond angle increases to 108∘ in trimethylamine.
Like ammonia, amines nitrogen atom is also trivalent which has one unshared pair of electrons. Now ammonia nitrogen atom undergoes sp3 hybridization forming four sp3 hybrid orbitals. Three of these sp3 hybrid orbitals overlap with the s−orbital of H-atom forming three N−H bonds and the fourth hybrid orbital contains a lone pair of electrons. The geometry of the molecule is pyramidal and the bond angle of the molecule is 107∘. Since amines are alkyl or aryl derivatives of ammonia, which means amine's nitrogen atom also has sp3 hybridisation with geometry pyramidal. However, due to the presence of methyl groups in amines, the bond angle increases. In case of tertiary amines, due to steric hindrance between three bulky alkyl groups, bond angle increases to 108∘ in trimethylamine.
Amine's ka nitrogen atom kitne number of carbon atoms se attached hota hai uske basis par hum amines ko primary, secondary aur tertiary form meh classify karte hai.
(i) Primary Amines : Iss case meh nitrogen atom se 1 alkyl or aryl group aur 2 hydrogen atoms attached hote hai.
(ii) Secondary Amines : Iss case meh nitrogen atom se 2 alkyl or aryl groups aur 1 hydrogen atom attached hota hai.
(iii) Tertiary Amines : Iss case meh nitrogen atom se 3 alkyl or aryl groups aur 0 hydrogen atom attached hota hai.





Amine's ka nitrogen atom kitne number of carbon atoms se attached hota hai uske basis par hum amines ko primary, secondary aur tertiary form meh classify karte hai.
(i) Primary Amines : Iss case meh nitrogen atom se 1 alkyl or aryl group aur 2 hydrogen atoms attached hote hai.
(ii) Secondary Amines : Iss case meh nitrogen atom se 2 alkyl or aryl groups aur 1 hydrogen atom attached hota hai.
(iii) Tertiary Amines : Iss case meh nitrogen atom se 3 alkyl or aryl groups aur 0 hydrogen atom attached hota hai.





Amine's ka nitrogen atom kitne number of carbon atoms se attached hota hai uske basis par hum amines ko primary, secondary aur tertiary form meh classify karte hai.
(i) Primary Amines : Iss case meh nitrogen atom se 1 alkyl or aryl group aur 2 hydrogen atoms attached hote hai.
(ii) Secondary Amines : Iss case meh nitrogen atom se 2 alkyl or aryl groups aur 1 hydrogen atom attached hota hai.
(iii) Tertiary Amines : Iss case meh nitrogen atom se 3 alkyl or aryl groups aur 0 hydrogen atom attached hota hai.





Amine can be classified into primary, secondary and tertiary depending on the number of carbon atoms attached to amine’s nitrogen atom.
(i) Primary Amines : In this case, 1 alkyl or aryl and 2 hydrogen atoms attached with amine’s nitrogen atom.
(ii) Secondary Amines : In this case, 2 alkyl or aryl and 1 hydrogen atoms attached with amine’s nitrogen atom.
(iii) Tertiary Amines : In this case, 3 alkyl or aryl and 0 hydrogen atoms attached with amine’s nitrogen atom.





Amine can be classified into primary, secondary and tertiary depending on the number of carbon atoms attached to amine’s nitrogen atom.
(i) Primary Amines : In this case, 1 alkyl or aryl and 2 hydrogen atoms attached with amine’s nitrogen atom.
(ii) Secondary Amines : In this case, 2 alkyl or aryl and 1 hydrogen atoms attached with amine’s nitrogen atom.
(iii) Tertiary Amines : In this case, 3 alkyl or aryl and 0 hydrogen atoms attached with amine’s nitrogen atom.





Amine can be classified into primary, secondary and tertiary depending on the number of carbon atoms attached to amine’s nitrogen atom.
(i) Primary Amines : In this case, 1 alkyl or aryl and 2 hydrogen atoms attached with amine’s nitrogen atom.
(ii) Secondary Amines : In this case, 2 alkyl or aryl and 1 hydrogen atoms attached with amine’s nitrogen atom.
(iii) Tertiary Amines : In this case, 3 alkyl or aryl and 0 hydrogen atoms attached with amine’s nitrogen atom.





1) Aliphatic Amines
IUPAC system ke according aliphatic amines ko hum alkanamines bolte hai. Iske liye hum parent alkane ke last ‘-e’ ko suffix amine se replace karte hai. For example CH3NH2 ko hum IUPAC system ke according methanamine bolte hai. Similarly dusre examples consider kare

.png)






1) Aliphatic Amines
IUPAC system ke according aliphatic amines ko hum alkanamines bolte hai. Iske liye hum parent alkane ke last ‘-e’ ko suffix amine se replace karte hai. For example CH3NH2 ko hum IUPAC system ke according methanamine bolte hai. Similarly dusre examples consider kare

.png)






1) Aliphatic Amines
IUPAC system ke according aliphatic amines ko hum alkanamines bolte hai. Iske liye hum parent alkane ke last ‘-e’ ko suffix amine se replace karte hai. For example CH3NH2 ko hum IUPAC system ke according methanamine bolte hai. Similarly dusre examples consider kare

.png)






1) Aliphatic Amines
According to the IUPAC system aliphatic amines are also called alkanamines. These names are written by replacing ‘-e’ of the name of parent alkane by suffix amine. For example CH3NH2 may be named as methanamine. Similarly consider other examples :

.png)






1) Aliphatic Amines
According to the IUPAC system aliphatic amines are also called alkanamines. These names are written by replacing ‘-e’ of the name of parent alkane by suffix amine. For example CH3NH2 may be named as methanamine. Similarly consider other examples :

.png)






1) Aliphatic Amines
According to the IUPAC system aliphatic amines are also called alkanamines. These names are written by replacing ‘-e’ of the name of parent alkane by suffix amine. For example CH3NH2 may be named as methanamine. Similarly consider other examples :

.png)






Write the structural formula of the following and indicate primary, secondary or tertiary amines:
(i) (N-Methyl) butan-2-amine (ii) 3-(N-ethylamino) butan-1-ol
(iii) N-ethyl-N-methylpropanamine (iv) Dibenzylamine
(i) CH3−CH2−CH∣CH3−NH−CH3(2∘amine)
(ii) CH3CH∣NH∣C2H5CH2CH2OH
(iii) CH3CH2CH2—CH3∣N—C2H5(3∘amine)
(iv) 
Amines exhibit the following types of isomerism :
1) Chain Isomerism : Aliphatic amines containing four or more carbon atoms show chain isomerism due to the difference in the nature of the carbon chain of alkyl groups attached to the amino group. For example,
Amines exhibit the following types of isomerism :
1) Chain Isomerism : Aliphatic amines containing four or more carbon atoms show chain isomerism due to the difference in the nature of the carbon chain of alkyl groups attached to the amino group. For example,
What is the structure and IUPAC name of the compound, allyl amine?
CH2=CH−CH2NH2
Prop-2-en-1-amine.
Here, the word 'prop' is used because there are 3 carbon atoms, '2-en' denotes that double bond is at second position.
The aliphatic amines have a pyramidal shape with one lone pair of electrons. Since in amines, N undergoes sp3 hybridisation, the shape may be regarded as approximately tetrahedral when we assume electron pair on nitrogen as a group. Therefore, the amines containing different substituents on nitrogen are chiral and we expect secondary and tertiary amities to exhibit optical activity or enantiomerism. For example, methyl ethylamine CH3NHC2H5 (a secondary amine) or methyl ethyl propylamine (a tertiary amine) are dissymmetric as shown below :
The aliphatic amines have a pyramidal shape with one lone pair of electrons. Since in amines, N undergoes sp3 hybridisation, the shape may be regarded as approximately tetrahedral when we assume electron pair on nitrogen as a group. Therefore, the amines containing different substituents on nitrogen are chiral and we expect secondary and tertiary amities to exhibit optical activity or enantiomerism. For example, methyl ethylamine CH3NHC2H5 (a secondary amine) or methyl ethyl propylamine (a tertiary amine) are dissymmetric as shown below :
Amines ko hum different methods se prepare kar sakte hai :
1) Reduction of Nitro Compounds
Jab hum nitro compounds ki reduction reaction perform karte hai, tab ye hume aliphatic aur aromatic amines compound dete hai. Ab nitro compound ki reduction different methods se ho sakti hai.
(i) Jab hum nitro compounds ko hydrogen ke sath in the presence of catalyst Raney Ni,Pt,Pd react karte hai tab ye amines compounds form karte hai.











Write the structural formula of the following and indicate primary, secondary or tertiary amines:
(i) (N-Methyl) butan-2-amine (ii) 3-(N-ethylamino) butan-1-ol
(iii) N-ethyl-N-methylpropanamine (iv) Dibenzylamine
(i) CH3−CH2−CH∣CH3−NH−CH3(2∘amine)
(ii) CH3CH∣NH∣C2H5CH2CH2OH(2∘amine)
(iii) CH3CH2CH2—CH3∣N—C2H5(3∘amine)
(iv) 
Write the structural formula of the following and indicate primary, secondary or tertiary amines:
(i) (N-Methyl) butan-2-amine (ii) 3-(N-ethylamino) butan-1-ol
(iii) N-ethyl-N-methylpropanamine (iv) Dibenzylamine
(i) CH3−CH2−CH∣CH3−NH−CH3(2∘amine)
(ii) CH3CH∣NH∣C2H5CH2CH2OH(2∘amine)
(iii) CH3CH2CH2—CH3∣N—C2H5(3∘amine)
(iv) 
Amines can be prepared from different methods as :
1) Reduction of Nitro Compounds
Aliphatic and aromatic amines can be easily prepared by the reduction of corresponding nitro compounds. The reduction can be carried out as :
(i) Nitro compounds can be catalytically reduced by passing hydrogen in the presence of Raney Ni,Pt,Pd as catalyst at room temperature.











What is the structure and IUPAC name of the compound, allyl amine?
CH2=CH−CH2NH2
Prop-2-en-1-amine.
Here, the word 'prop' is used because there are 3 carbon atoms, '2-en' denotes that double bond is at second position.
What is the structure and IUPAC name of the compound, allyl amine?
CH2=CH−CH2NH2
Prop-2-en-1-amine.
Here, the word 'prop' is used because there are 3 carbon atoms, '2-en' denotes that double bond is at second position.
Generation of Different Carbon Atoms Amines from Different Reagents
It may be noted that primary amines can be obtained from amides either by reduction with LiAlH4 or by treating with Br2 and NaOH.
The reduction with LiAlH4 gives amine having same number of C−atoms as the original amide while reduction with NaOH and Br2 gives amine having one carbon atom less than the original amide.
Amines ko hum different methods se prepare kar sakte hai :
1) Reduction of Nitro Compounds
Jab hum nitro compounds ki reduction reaction perform karte hai, tab ye hume aliphatic aur aromatic amines compound dete hai. Ab nitro compound ki reduction different methods se ho sakti hai.
(i) Jab hum nitro compounds ko hydrogen ke sath in the presence of catalyst Raney Ni,Pt,Pd react karte hai tab ye amines compounds form karte hai.











Amines ko hum different methods se prepare kar sakte hai :
1) Reduction of Nitro Compounds
Jab hum nitro compounds ki reduction reaction perform karte hai, tab ye hume aliphatic aur aromatic amines compound dete hai. Ab nitro compound ki reduction different methods se ho sakti hai.
(i) Jab hum nitro compounds ko hydrogen ke sath in the presence of catalyst Raney Ni,Pt,Pd react karte hai tab ye amines compounds form karte hai.











1) Physical State and Smell : Aliphatic amines ke lower members jaise methylamine, ethylamine etc., normal temperature par gases hote hai aur inki ammonia jaisi smell hoti hai. Similarly amines ke higher members jisme 3 or more carbon atoms present hote hai wo generally liquids hote hai aur unki fishy smell hoti hai, moreover, higher members of amines solids hote hai. Most of the amines ki unpleasant odour hoti hai aur aromatic amines generally toxic hote hai. Also, most of the amines pure form meh colourless hote hai, lekin jab inka oxidation hota hai tab ye colour show karte hai.
2) Boiling Points : Amines ka boiling point corresponding hydrocarbon compounds se jyada hota hai, kyunki amines polar compound hote hai. Isme tertiary amine exception case hota hai, kyunki tertiary amine meh hydrogen bonding ke liye H−atom nahi hote. Lekin primary aur secondary amine meh hydrogen bonding ke liye H−atom hote hai, so ye intermolecular hydrogen bonding form kar sakte hai.




Amines can be prepared from different methods as :
1) Reduction of Nitro Compounds
Aliphatic and aromatic amines can be easily prepared by the reduction of corresponding nitro compounds. The reduction can be carried out as :
(i) Nitro compounds can be catalytically reduced by passing hydrogen in the presence of Raney Ni,Pt,Pd as catalyst at room temperature.











Amines can be prepared from different methods as :
1) Reduction of Nitro Compounds
Aliphatic and aromatic amines can be easily prepared by the reduction of corresponding nitro compounds. The reduction can be carried out as :
(i) Nitro compounds can be catalytically reduced by passing hydrogen in the presence of Raney Ni,Pt,Pd as catalyst at room temperature.











1) Physical State and Smell : Lower members of the aliphatic amines such as methylamine, dimethyl amine, ethylamine are gases at ordinary temperatures and have smell like ammonia. The higher members with three or more C atoms are mostly liquids having fishy smell and still higher ones are solids. Most of the amines have unpleasant odour. Aromatic amines, in general, are toxic. Most of the amines in pure form are colourless but as they are easily oxidised, they become coloured due to impurities and atmospheric oxidation.
2) Boiling Points : Amines have higher boiling point than corresponding hydrocarbon compounds. This is due to the reason that amines are polar compounds and with the exception of tertiary amines, they form associated molecules due to intermolecular hydrogen bonding between nitrogen of one and hydrogen of another molecule as shown below :




Generation of Different Carbon Atoms Amines from Different Reagents
It may be noted that primary amines can be obtained from amides either by reduction with LiAlH4 or by treating with Br2 and NaOH.
The reduction with LiAlH4 gives amine having same number of C−atoms as the original amide while reduction with NaOH and Br2 gives amine having one carbon atom less than the original amide.
Generation of Different Carbon Atoms Amines from Different Reagents
It may be noted that primary amines can be obtained from amides either by reduction with LiAlH4 or by treating with Br2 and NaOH.
The reduction with LiAlH4 gives amine having same number of C−atoms as the original amide while reduction with NaOH and Br2 gives amine having one carbon atom less than the original amide.
Amines meh nitrogen aur hydrogen atoms ke beech electronegativity difference aur nitrogen atom par lone pair of electrons present hone ki wajah se ye compounds reactive hote hai. Ab kyunki nitrogen atom par lone pair of electrons present hai iss wajah se amines nucleophiles ki tarah behave karte hai. Ab nitrogen ke sath kitne hydrogen atoms attached hote hai uske basis par amines different reactions show karte hai.
1) Basic Character of Amines
Ab amine ke nitrogen atom par lone pair of electrons present hote hai jis wajah se ye compounds basic nature show karte hai, matlab ye compounds Lewis bases ki tarah behave karte hai. Amines compounds water ki respect meh jyada basic hote hai iss wajah se jab amines water ke sath react karte hai tab ye alkyl or aryl ammonium hydroxides salt form karte hai, jo further ionization par hydroxide OH− ions form karte hai.































1) Physical State and Smell : Aliphatic amines ke lower members jaise methylamine, ethylamine etc., normal temperature par gases hote hai aur inki ammonia jaisi smell hoti hai. Similarly amines ke higher members jisme 3 or more carbon atoms present hote hai wo generally liquids hote hai aur unki fishy smell hoti hai, moreover, higher members of amines solids hote hai. Most of the amines ki unpleasant odour hoti hai aur aromatic amines generally toxic hote hai. Also, most of the amines pure form meh colourless hote hai, lekin jab inka oxidation hota hai tab ye colour show karte hai.
2) Boiling Points : Amines ka boiling point corresponding hydrocarbon compounds se jyada hota hai, kyunki amines polar compound hote hai. Isme tertiary amine exception case hota hai, kyunki tertiary amine meh hydrogen bonding ke liye H−atom nahi hote. Lekin primary aur secondary amine meh hydrogen bonding ke liye H−atom hote hai, so ye intermolecular hydrogen bonding form kar sakte hai.




1) Physical State and Smell : Aliphatic amines ke lower members jaise methylamine, ethylamine etc., normal temperature par gases hote hai aur inki ammonia jaisi smell hoti hai. Similarly amines ke higher members jisme 3 or more carbon atoms present hote hai wo generally liquids hote hai aur unki fishy smell hoti hai, moreover, higher members of amines solids hote hai. Most of the amines ki unpleasant odour hoti hai aur aromatic amines generally toxic hote hai. Also, most of the amines pure form meh colourless hote hai, lekin jab inka oxidation hota hai tab ye colour show karte hai.
2) Boiling Points : Amines ka boiling point corresponding hydrocarbon compounds se jyada hota hai, kyunki amines polar compound hote hai. Isme tertiary amine exception case hota hai, kyunki tertiary amine meh hydrogen bonding ke liye H−atom nahi hote. Lekin primary aur secondary amine meh hydrogen bonding ke liye H−atom hote hai, so ye intermolecular hydrogen bonding form kar sakte hai.




The difference in electronegativity between nitrogen and hydrogen atoms and the presence of one lone pair of electrons on the nitrogen atom make amines very reactive compounds. Due to the presence of a lone pair of electrons on the N−atom, amines behave as nucleophiles. The number of hydrogen atoms attached to nitrogen atom also decides the course of reaction.
1) Basic Character of Amines
The presence of a lone pair of electrons on the N−atom makes amines a basic compound which means they behave as Lewis base. These amines are more basic than water and therefore, get protonated by water to form alkyl ammonium or aryl ammonium hydroxide which ionize to furnish OH− ions in solution.































1) Physical State and Smell : Lower members of the aliphatic amines such as methylamine, dimethyl amine, ethylamine are gases at ordinary temperatures and have smell like ammonia. The higher members with three or more C atoms are mostly liquids having fishy smell and still higher ones are solids. Most of the amines have unpleasant odour. Aromatic amines, in general, are toxic. Most of the amines in pure form are colourless but as they are easily oxidised, they become coloured due to impurities and atmospheric oxidation.
2) Boiling Points : Amines have higher boiling point than corresponding hydrocarbon compounds. This is due to the reason that amines are polar compounds and with the exception of tertiary amines, they form associated molecules due to intermolecular hydrogen bonding between nitrogen of one and hydrogen of another molecule as shown below :




1) Physical State and Smell : Lower members of the aliphatic amines such as methylamine, dimethyl amine, ethylamine are gases at ordinary temperatures and have smell like ammonia. The higher members with three or more C atoms are mostly liquids having fishy smell and still higher ones are solids. Most of the amines have unpleasant odour. Aromatic amines, in general, are toxic. Most of the amines in pure form are colourless but as they are easily oxidised, they become coloured due to impurities and atmospheric oxidation.
2) Boiling Points : Amines have higher boiling point than corresponding hydrocarbon compounds. This is due to the reason that amines are polar compounds and with the exception of tertiary amines, they form associated molecules due to intermolecular hydrogen bonding between nitrogen of one and hydrogen of another molecule as shown below :




Give Reasons : Methylamine is a stronger base than ammonia.
Both ammonia and CH3NH2 have a lone pair of electrons and therefore, behave as Lewis bases. The alkyl group in CH3NH2 has +I inductive effect and is electron releasing in nature. As a result, its electron releasing tendency becomes more. Thus, CH3NH2 is more basic than ammonia.
Amines meh nitrogen aur hydrogen atoms ke beech electronegativity difference aur nitrogen atom par lone pair of electrons present hone ki wajah se ye compounds reactive hote hai. Ab kyunki nitrogen atom par lone pair of electrons present hai iss wajah se amines nucleophiles ki tarah behave karte hai. Ab nitrogen ke sath kitne hydrogen atoms attached hote hai uske basis par amines different reactions show karte hai.
1) Basic Character of Amines
Ab amine ke nitrogen atom par lone pair of electrons present hote hai jis wajah se ye compounds basic nature show karte hai, matlab ye compounds Lewis bases ki tarah behave karte hai. Amines compounds water ki respect meh jyada basic hote hai iss wajah se jab amines water ke sath react karte hai tab ye alkyl or aryl ammonium hydroxides salt form karte hai, jo further ionization par hydroxide OH− ions form karte hai.































Amines meh nitrogen aur hydrogen atoms ke beech electronegativity difference aur nitrogen atom par lone pair of electrons present hone ki wajah se ye compounds reactive hote hai. Ab kyunki nitrogen atom par lone pair of electrons present hai iss wajah se amines nucleophiles ki tarah behave karte hai. Ab nitrogen ke sath kitne hydrogen atoms attached hote hai uske basis par amines different reactions show karte hai.
1) Basic Character of Amines
Ab amine ke nitrogen atom par lone pair of electrons present hote hai jis wajah se ye compounds basic nature show karte hai, matlab ye compounds Lewis bases ki tarah behave karte hai. Amines compounds water ki respect meh jyada basic hote hai iss wajah se jab amines water ke sath react karte hai tab ye alkyl or aryl ammonium hydroxides salt form karte hai, jo further ionization par hydroxide OH− ions form karte hai.































A primary amine, RNH2 can be reacted with CH3−X to get secondary amine, R−NHCH3, but the only disadvantage is that 3∘ amine and quaternary ammonium salts are also obtained as side products. Can your suggest a method where RNH2 forms only 2∘ amine ?
The difference in electronegativity between nitrogen and hydrogen atoms and the presence of one lone pair of electrons on the nitrogen atom make amines very reactive compounds. Due to the presence of a lone pair of electrons on the N−atom, amines behave as nucleophiles. The number of hydrogen atoms attached to nitrogen atom also decides the course of reaction.
1) Basic Character of Amines
The presence of a lone pair of electrons on the N−atom makes amines a basic compound which means they behave as Lewis base. These amines are more basic than water and therefore, get protonated by water to form alkyl ammonium or aryl ammonium hydroxide which ionize to furnish OH− ions in solution.































The difference in electronegativity between nitrogen and hydrogen atoms and the presence of one lone pair of electrons on the nitrogen atom make amines very reactive compounds. Due to the presence of a lone pair of electrons on the N−atom, amines behave as nucleophiles. The number of hydrogen atoms attached to nitrogen atom also decides the course of reaction.
1) Basic Character of Amines
The presence of a lone pair of electrons on the N−atom makes amines a basic compound which means they behave as Lewis base. These amines are more basic than water and therefore, get protonated by water to form alkyl ammonium or aryl ammonium hydroxide which ionize to furnish OH− ions in solution.































Why is aniline soluble in aqueous HCl ?
Aniline dissolves in aqueous HCl due to the formation of water soluble salt :
Distinction Between Primary, Secondary, and Tertiary Amines
Distinction Between Primary, Secondary, and Tertiary Amines
Give the structures of A,B and C in the following reactions :
(i) CH3BrKCN−−→ALiAlH4−−−→BHNO2−−−−−−→273KC
(ii) CH3COOHNH3−−−−−→ΔABr2+KOH−−−−−−→BCHCl3+NaOH−−−−−−−−−→C
(iii) CH3CNH2O/OH−−−−−−−→ANH3−−−−−→ΔBBr2+KOH−−−−−−→C
(i)
Give Reasons : Methylamine is a stronger base than ammonia.
Both ammonia and CH3NH2 have a lone pair of electrons and therefore, behave as Lewis bases. The alkyl group in CH3NH2 has +I inductive effect and is electron releasing in nature. As a result, its electron releasing tendency becomes more. Thus, CH3NH2 is more basic than ammonia.
Give Reasons : Methylamine is a stronger base than ammonia.
Both ammonia and CH3NH2 have a lone pair of electrons and therefore, behave as Lewis bases. The alkyl group in CH3NH2 has +I inductive effect and is electron releasing in nature. As a result, its electron releasing tendency becomes more. Thus, CH3NH2 is more basic than ammonia.
A compound Z with molecular formula C3H9N reacts with C6H5SO2Cl to give a solid, insoluble in alkali. Identify Z.
Z is an aliphatic amine which gives a solid insoluble in base. This means that reaction with C6H5SO2Cl must give a product without any replaceable hydrogen attached to nitrogen. Therefore, the amine must be a secondary amine. Hence, Z is ethylmethylamine.
Hence,
A primary amine, RNH2 can be reacted with CH3−X to get secondary amine, R−NHCH3, but the only disadvantage is that 3∘ amine and quaternary ammonium salts are also obtained as side products. Can you suggest a method where RNH2 forms only 2∘ amine ?
A primary amine, RNH2 can be reacted with CH3−X to get secondary amine, R−NHCH3, but the only disadvantage is that 3∘ amine and quaternary ammonium salts are also obtained as side products. Can you suggest a method where RNH2 forms only 2∘ amine ?
(a) How will you convert an alkyl halide into a primary amine having one more carbon atom than the alkyl halide used ?
(b) How can a carboxylic acid be converted into an amine having one less carbon atom than the carboxylic acid used ?
(a) By heating alkyl halide with KCN followed by treatment with Na,C2H5OH. For example
Why is aniline soluble in aqueous HCl ?
Aniline dissolves in aqueous HCl due to the formation of water soluble salt :
Why is aniline soluble in aqueous HCl ?
Aniline dissolves in aqueous HCl due to the formation of water soluble salt :
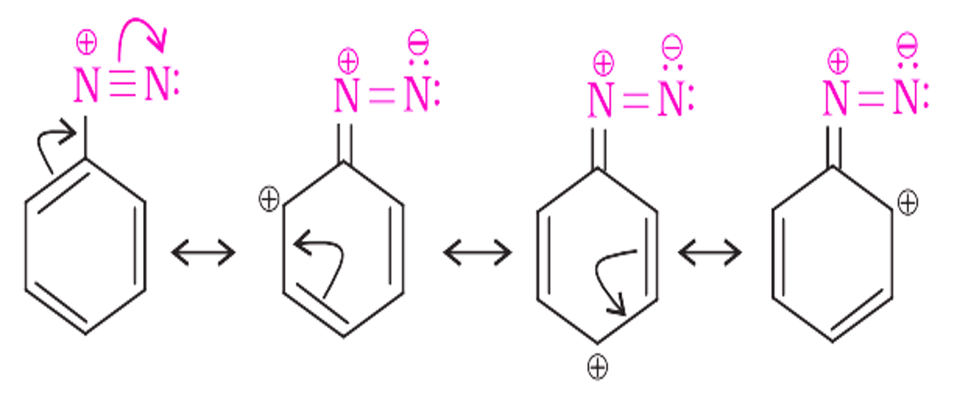
The diazonium salts have the general formula Ar+N2−X where Ar stands for an aryl group and –X ion may be Cl–,Br–,HSO−4,BF−4 etc,. They are named by suffixing diazonium to the name of the parent hydrocarbon from which they are formed, followed by the name of anion such as chloride, hydrogensulphate, etc. The N+2 group is called diazonium group. For example, C6H5N+2Cl−is named as benzenediazonium chloride and C6H5N+2HSO–4 is known as benzenediazonium hydrogensulphate. Primary aliphatic amines form highly unstable alkyldiazonium salts. Primary aromatic amines form arenediazonium salts which are stable for a short time in solution at low temperatures (273−278 K). The stability of arenediazonium ion is explained on the basis of resonance :

Give the structures of A,B and C in the following reactions :
(i) CH3BrKCN−−→ALiAlH4−−−→BHNO2−−−−−−→273KC
(ii) CH3COOHNH3−−−−−→ΔABr2+KOH−−−−−−→BCHCl3+NaOH−−−−−−−−−→C
(iii) CH3CNH2O/OH−−−−−−−→ANH3−−−−−→ΔBBr2+KOH−−−−−−→C
(i)
Give the structures of A,B and C in the following reactions :
(i) CH3BrKCN−−→ALiAlH4−−−→BHNO2−−−−−−→273KC
(ii) CH3COOHNH3−−−−−→ΔABr2+KOH−−−−−−→BCHCl3+NaOH−−−−−−−−−→C
(iii) CH3CNH2O/OH−−−−−−−→ANH3−−−−−→ΔBBr2+KOH−−−−−−→C
(i)
Benzenediazonium chloride is prepared by the reaction of aniline with nitrous acid at 273−278 K. Nitrous acid is produced in the reaction mixture by the reaction of sodium nitrite with hydrochloric acid. The conversion of primary aromatic amines into diazonium salts is known as diazotisation. Due to its instability, the diazonium salt is not generally stored and is used immediately after its preparation.
A compound Z with molecular formula C3H9N reacts with C6H5SO2Cl to give a solid, insoluble in alkali. Identify Z.
Z is an aliphatic amine which gives a solid insoluble in base. This means that reaction with C6H5SO2Cl must give a product without any replaceable hydrogen attached to nitrogen. Therefore, the amine must be a secondary amine. Hence, Z is ethylmethylamine.
Hence,
A compound Z with molecular formula C3H9N reacts with C6H5SO2Cl to give a solid, insoluble in alkali. Identify Z.
Z is an aliphatic amine which gives a solid insoluble in base. This means that reaction with C6H5SO2Cl must give a product without any replaceable hydrogen attached to nitrogen. Therefore, the amine must be a secondary amine. Hence, Z is ethylmethylamine.
Hence,
Physical Properties of Diazonium Salts
The general physical properties of diazonium salts are :
1) Diazonium salts are generally colourless, crystalline solids.
2) These are readily soluble in water and are stable in cold but react with water when warmed. They are less soluble in alcohol.
3) They are unstable and explode in dry state. Therefore, they are generally used in solution state.
4) Certain diazonium salts such as fluoroborates are water insoluble and are stable enough to be dried and stored.
5) Their aqueous solutions are neutral to litmus and conduct electricity due to the presence of ions.
Chemical Properties of Diazonium Salts
The reactions of diazonium salts can be broadly divided into two categories, namely
(A) Reactions involving displacement of nitrogen and
(B) Reactions involving retention of diazo group.
(A) Reactions involving displacement of nitrogen
Diazonium group being a very good leaving group, is substituted by other groups such as Cl–,Br–,I–,CN– and OH– which displace nitrogen from the aromatic ring. The nitrogen formed escapes from the reaction mixture as a gas.
1) Replacement by halide or cyanide ion : The Cl–,Br– and CN– nucleophiles can easily be introduced in the benzene ring in the presence of Cu(I) ion. This reaction is called Sandmeyer reaction.



(a) How will you convert an alkyl halide into a primary amine having one more carbon atom than the alkyl halide used ?
(b) How can a carboxylic acid be converted into an amine having one less carbon atom than the carboxylic acid used ?
(a) By heating alkyl halide with KCN followed by treatment with Na,C2H5OH. For example
(a) How will you convert an alkyl halide into a primary amine having one more carbon atom than the alkyl halide used ?
(b) How can a carboxylic acid be converted into an amine having one less carbon atom than the carboxylic acid used ?
(a) By heating alkyl halide with KCN followed by treatment with Na,C2H5OH. For example
Give the structure of 'A' in the following reaction.

The product A in the above reaction is 1−methyl−3−nitrobenzene whose structure is shown below :

The diazonium salts have the general formula Ar+N2−X where Ar stands for an aryl group and –X ion may be Cl–,Br–,HSO−4,BF−4 etc,. They are named by suffixing diazonium to the name of the parent hydrocarbon from which they are formed, followed by the name of anion such as chloride, hydrogensulphate, etc. The N+2 group is called diazonium group. For example, C6H5N+2Cl−is named as benzenediazonium chloride and C6H5N+2HSO–4 is known as benzenediazonium hydrogensulphate. Primary aliphatic amines form highly unstable alkyldiazonium salts. Primary aromatic amines form arenediazonium salts which are stable for a short time in solution at low temperatures (273−278 K). The stability of arenediazonium ion is explained on the basis of resonance :

The diazonium salts have the general formula Ar+N2−X where Ar stands for an aryl group and –X ion may be Cl–,Br–,HSO−4,BF−4 etc,. They are named by suffixing diazonium to the name of the parent hydrocarbon from which they are formed, followed by the name of anion such as chloride, hydrogensulphate, etc. The N+2 group is called diazonium group. For example, C6H5N+2Cl−is named as benzenediazonium chloride and C6H5N+2HSO–4 is known as benzenediazonium hydrogensulphate. Primary aliphatic amines form highly unstable alkyldiazonium salts. Primary aromatic amines form arenediazonium salts which are stable for a short time in solution at low temperatures (273−278 K). The stability of arenediazonium ion is explained on the basis of resonance :

Complete the following reaction :
Ar−NH2NaNO2,HCl−−−−−−−−−−→0−5∘CACuCN−−−→B
Benzenediazonium chloride is prepared by the reaction of aniline with nitrous acid at 273−278 K. Nitrous acid is produced in the reaction mixture by the reaction of sodium nitrite with hydrochloric acid. The conversion of primary aromatic amines into diazonium salts is known as diazotisation. Due to its instability, the diazonium salt is not generally stored and is used immediately after its preparation.
Benzenediazonium chloride is prepared by the reaction of aniline with nitrous acid at 273−278 K. Nitrous acid is produced in the reaction mixture by the reaction of sodium nitrite with hydrochloric acid. The conversion of primary aromatic amines into diazonium salts is known as diazotisation. Due to its instability, the diazonium salt is not generally stored and is used immediately after its preparation.
From the above reactions, it is clear that the diazonium salts are very good intermediates for the introduction of –F,–Cl,–Br,–I,–CN,–OH,–NO2 groups into the aromatic ring. Aryl fluorides and iodides cannot be prepared by direct halogenation. The cyano group cannot be introduced by nucleophilic substitution of chlorine in chlorobenzene but cyanobenzene can be easily obtained from diazonium salt. Thus, the replacement of diazo group by other groups is helpful in preparing those substituted aromatic compounds which cannot be prepared by direct substitution in benzene or substituted benzene.
Physical Properties of Diazonium Salts
The general physical properties of diazonium salts are :
1) Diazonium salts are generally colourless, crystalline solids.
2) These are readily soluble in water and are stable in cold but react with water when warmed. They are less soluble in alcohol.
3) They are unstable and explode in dry state. Therefore, they are generally used in solution state.
4) Certain diazonium salts such as fluoroborates are water insoluble and are stable enough to be dried and stored.
5) Their aqueous solutions are neutral to litmus and conduct electricity due to the presence of ions.
Chemical Properties of Diazonium Salts
The reactions of diazonium salts can be broadly divided into two categories, namely
(A) Reactions involving displacement of nitrogen and
(B) Reactions involving retention of diazo group.
(A) Reactions involving displacement of nitrogen
Diazonium group being a very good leaving group, is substituted by other groups such as Cl–,Br–,I–,CN– and OH– which displace nitrogen from the aromatic ring. The nitrogen formed escapes from the reaction mixture as a gas.
1) Replacement by halide or cyanide ion : The Cl–,Br– and CN– nucleophiles can easily be introduced in the benzene ring in the presence of Cu(I) ion. This reaction is called Sandmeyer reaction.



Physical Properties of Diazonium Salts
The general physical properties of diazonium salts are :
1) Diazonium salts are generally colourless, crystalline solids.
2) These are readily soluble in water and are stable in cold but react with water when warmed. They are less soluble in alcohol.
3) They are unstable and explode in dry state. Therefore, they are generally used in solution state.
4) Certain diazonium salts such as fluoroborates are water insoluble and are stable enough to be dried and stored.
5) Their aqueous solutions are neutral to litmus and conduct electricity due to the presence of ions.
Chemical Properties of Diazonium Salts
The reactions of diazonium salts can be broadly divided into two categories, namely
(A) Reactions involving displacement of nitrogen and
(B) Reactions involving retention of diazo group.
(A) Reactions involving displacement of nitrogen
Diazonium group being a very good leaving group, is substituted by other groups such as Cl–,Br–,I–,CN– and OH– which displace nitrogen from the aromatic ring. The nitrogen formed escapes from the reaction mixture as a gas.
1) Replacement by halide or cyanide ion : The Cl–,Br– and CN– nucleophiles can easily be introduced in the benzene ring in the presence of Cu(I) ion. This reaction is called Sandmeyer reaction.



(i) Amines can be considered as derivatives of ammonia obtained by replacement of hydrogen atoms with alkyl or aryl groups.
(ii) Replacement of one hydrogen atom of ammonia gives rise to structure of the type R−NH2, known as primary amine. Secondary amines are characterised by the structure R2NH or R−NHR' and tertiary amines by R3N,RNR'R''orR2NR'.
(iii) Like ammonia, all the three types of amines have one unshared electron pair on nitrogen atom due to which they behave as Lewis bases.
(iv) Amines are usually formed from nitro compounds, halides, amides, imides, etc. They exhibit hydrogen bonding which influence their physical properties.
(v) In alkylamines, a combination of electron releasing, steric and H-bonding factors influence the stability of the substituted ammonium cations in protic polar solvents and thus affect the basic nature of amines. Alkyl amines are found to be stronger bases than ammonia.
(vi) In aromatic amines, electron releasing and withdrawing groups, respectively increase and decrease their basic character. Aniline is a weaker base than ammonia.
(vii) Influence of the number of hydrogen atoms at nitrogen atom on the type of reactions and nature of products is responsible for identification and distinction between primary, secondary and tertiary amines. p−Toluenesulphonyl chloride is used for the identification of primary, secondary and tertiary amines.
(viii) Reactivity of aromatic amines can be controlled by acylation process, i.e., by treating with acetyl chloride or acetic anhydride.
(ix) Aryldiazonium salts, usually obtained from arylamines, undergo replacement of the diazonium group with a variety of nucleophiles to provide advantageous methods for producing aryl halides, cyanides, phenols and arenes by reductive removal of the diazo group. Coupling reaction of aryldiazonium salts with phenols or arylamines give rise to the formation of azo dyes.
Give the structure of 'A' in the following reaction.

The product A in the above reaction is 1−methyl−3−nitrobenzene whose structure is shown below :

Give the structure of 'A' in the following reaction.

The product A in the above reaction is 1−methyl−3−nitrobenzene whose structure is shown below :

Complete the following reaction :
Ar−NH2NaNO2,HCl−−−−−−−−−−→0−5∘CACuCN−−−→B
Complete the following reaction :
Ar−NH2NaNO2,HCl−−−−−−−−−−→0−5∘CACuCN−−−→B
From the above reactions, it is clear that the diazonium salts are very good intermediates for the introduction of –F,–Cl,–Br,–I,–CN,–OH,–NO2 groups into the aromatic ring. Aryl fluorides and iodides cannot be prepared by direct halogenation. The cyano group cannot be introduced by nucleophilic substitution of chlorine in chlorobenzene but cyanobenzene can be easily obtained from diazonium salt. Thus, the replacement of diazo group by other groups is helpful in preparing those substituted aromatic compounds which cannot be prepared by direct substitution in benzene or substituted benzene.
From the above reactions, it is clear that the diazonium salts are very good intermediates for the introduction of –F,–Cl,–Br,–I,–CN,–OH,–NO2 groups into the aromatic ring. Aryl fluorides and iodides cannot be prepared by direct halogenation. The cyano group cannot be introduced by nucleophilic substitution of chlorine in chlorobenzene but cyanobenzene can be easily obtained from diazonium salt. Thus, the replacement of diazo group by other groups is helpful in preparing those substituted aromatic compounds which cannot be prepared by direct substitution in benzene or substituted benzene.
(i) Amines can be considered as derivatives of ammonia obtained by replacement of hydrogen atoms with alkyl or aryl groups.
(ii) Replacement of one hydrogen atom of ammonia gives rise to structure of the type R−NH2, known as primary amine. Secondary amines are characterised by the structure R2NH or R−NHR' and tertiary amines by R3N,RNR'R''orR2NR'.
(iii) Like ammonia, all the three types of amines have one unshared electron pair on nitrogen atom due to which they behave as Lewis bases.
(iv) Amines are usually formed from nitro compounds, halides, amides, imides, etc. They exhibit hydrogen bonding which influence their physical properties.
(v) In alkylamines, a combination of electron releasing, steric and H-bonding factors influence the stability of the substituted ammonium cations in protic polar solvents and thus affect the basic nature of amines. Alkyl amines are found to be stronger bases than ammonia.
(vi) In aromatic amines, electron releasing and withdrawing groups, respectively increase and decrease their basic character. Aniline is a weaker base than ammonia.
(vii) Influence of the number of hydrogen atoms at nitrogen atom on the type of reactions and nature of products is responsible for identification and distinction between primary, secondary and tertiary amines. p−Toluenesulphonyl chloride is used for the identification of primary, secondary and tertiary amines.
(viii) Reactivity of aromatic amines can be controlled by acylation process, i.e., by treating with acetyl chloride or acetic anhydride.
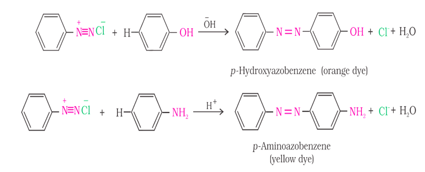
(ix) Aryldiazonium salts, usually obtained from arylamines, undergo replacement of the diazonium group with a variety of nucleophiles to provide advantageous methods for producing aryl halides, cyanides, phenols and arenes by reductive removal of the diazo group. Coupling reaction of aryldiazonium salts with phenols or arylamines give rise to the formation of azo dyes.
(i) Amines can be considered as derivatives of ammonia obtained by replacement of hydrogen atoms with alkyl or aryl groups.
(ii) Replacement of one hydrogen atom of ammonia gives rise to structure of the type R−NH2, known as primary amine. Secondary amines are characterised by the structure R2NH or R−NHR' and tertiary amines by R3N,RNR'R''orR2NR'.
(iii) Like ammonia, all the three types of amines have one unshared electron pair on nitrogen atom due to which they behave as Lewis bases.
(iv) Amines are usually formed from nitro compounds, halides, amides, imides, etc. They exhibit hydrogen bonding which influence their physical properties.
(v) In alkylamines, a combination of electron releasing, steric and H-bonding factors influence the stability of the substituted ammonium cations in protic polar solvents and thus affect the basic nature of amines. Alkyl amines are found to be stronger bases than ammonia.
(vi) In aromatic amines, electron releasing and withdrawing groups, respectively increase and decrease their basic character. Aniline is a weaker base than ammonia.
(vii) Influence of the number of hydrogen atoms at nitrogen atom on the type of reactions and nature of products is responsible for identification and distinction between primary, secondary and tertiary amines. p−Toluenesulphonyl chloride is used for the identification of primary, secondary and tertiary amines.
(viii) Reactivity of aromatic amines can be controlled by acylation process, i.e., by treating with acetyl chloride or acetic anhydride.
(ix) Aryldiazonium salts, usually obtained from arylamines, undergo replacement of the diazonium group with a variety of nucleophiles to provide advantageous methods for producing aryl halides, cyanides, phenols and arenes by reductive removal of the diazo group. Coupling reaction of aryldiazonium salts with phenols or arylamines give rise to the formation of azo dyes.